[기본 미션]
로지스틱 회귀가 이진 분류에서 확률을 출력하기 위해 사용하는 함수는 무엇인가요?
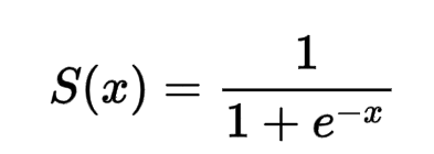
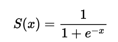
-> 시그모이드 함수.
로지스틱 회귀는 선형회귀와 동일하게 선형 방정식을 학습한다.
z = a * X1 + b * X2 + c * X3 + d * X4 + e
a, b, c, d는 가중치, 혹은 계수이고 e는 절편이다.
여기서 z가 아주 큰 음수일 땐 0이 되고, z가 아주 큰 양수일 때 1이 되도록 바꾸기 위해서 시그모이드 함수를 사용한다.


사이킷런은 위의 z값에 따라 출력된 시그모이드 함수의 출력이 0.5보다 이하이면 음성 클래스(0), 0.5를 초과하면 양성 클래스(1)로 분류한다.
[선택 미션]
1. 과소적합

2. 과대 적합

'머신러닝, 딥러닝' 카테고리의 다른 글
| 혼자 공부하는 머신러닝+딥러닝 5주차 (0) | 2022.02.12 |
|---|---|
| 혼자 공부하는 머신러닝+딥러닝 4주차 (1) | 2022.02.05 |
| 혼자 공부하는 머신러닝+딥러닝 2주차 (2) | 2022.01.22 |
| 혼자 공부하는 머신러닝+딥러닝 1주차 (0) | 2022.01.09 |
| gcp jupyter notebook에서 ffmpeg_extract_subclip로 동영상 자르고 cloud storage에 넣기 (0) | 2021.11.14 |